Concrete Carbonation Test
Jasa pengujian karbonasi beton menentukan condition grade kerusakan pada struktur bangunan. Uji tingkat karbonasi berguna untuk mengetahui apakah selimut beton masih melindungi baja di dalamnya.
Jasa Uji Sruktur Bangunan Destructive Testing (DT)
Karbonasi Beton
Jasa uji karbonasi struktur bangunan berguna untuk mengetahui bagaimana kondisi beton, apakah sudah terkabonasi atau tidak? Karbonasi ini mencakup pengaruh kebocoran, umur beton, temperatur, dan banyak faktor lain. Pengujian karbonasi akan dilakukan dengan Phenolpthalein sehingga anda dapat mengetahu bagaimana kondisi beton sebenarnya. Pada beton yang sudah terkarbonasi, larutan Phenolpthalein tidak akan mengubah warna beton yang disemport (netral), tapi jika beton tidak mengalami karbonasi warnanya akan berubah menjadi ungu.
Dalam praktek uji standar DT, dibutuhkan pengambilan sampel pada permukaan beton bagian dalam yang didasarkan pada pengumpulan bubuk selama perforasi dengan menggunakan bantuan alat bor biasa. Media pengambilan sampel sudah dirancang khusus dengan tujuan dapat mengoptimalkan aliran bubuk yang mengalir ke wadah pengumpulan. Analisis dapat memanfaatkan perubahan dari warna kimia lebih cepat dengan hasil yang lebih akurat.
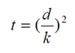
Perkiraan Umur Bangunan melalui Uji Karbonasi
Waktu yang dibutuhkan dalam pengujian karbonasi beton bisa diperkirakan dari mutu beton itu sendiri, dengan menggunakan rumus uji persamaan berikut:

Keterangan:
- t = waktu proses karbonasi hingga mencapai tulangan beton
- d = selimut beton
- k = permeabilitas
Hubungan Mutu Beton dengan Permeabilitas

Gallery Proyek
Tenaga Ahli, Engineer dan Teknisi yang kompeten dan Berpengalaman
Jasa Uji Karbonasi Beton
Karbonasi beton terjadi saat karbondioksida di atmosfer lembab dan bereaksi dengan mineral semen terhidrasi sehingga menghasilkan karbonat. Proses karbonasi disebut depassivation dapat diperkirakan waktu nya sesuai dengan kualitas mutu beton. Perusahaan kami dapat melakukan pengujian struktur bangunan dengan cara uji karbonasi yang langsung dikerjakan tim ahli untuk mendapatkan hasil output dan bahan informasi memadai untuk memperkirakan usia bangunan dan beberapa studi lanjutan untuk kelayakan bangunan.
Layanan Struktur Lainnya
Creating Solutions by Supporting Exceptional People

OUR QUALITY MANAGEMENT SYSTEM IS CERTIFIED ACCORDING TO ISO 9001
Struktural Forensic Consultant
General Survei Indonesia
Percayakan segala keperluan pengujian struktural bangunan Anda pada perusahaan kami! Kami berkomitmen memberikan layanan terbaik sehingga banyak konsumen Indonesia yang sudah mempercayakan kebutuhan mereka pada kami.